Ministerul Educației și Cercetării și specialiștii cooptați în grupul de lucru de profil au elaborat normele metodologice pentru aplicarea Legii nr. 221/2019 prin care este prevenit și combătut bullying-ul în spațiile destinate învățământului. Normele au fost aprobate prin ordin de ministru și publicate în Monitorul Oficial din 10 iunie 2020, intrând în vigoare odată cu publicarea acestuia.
Scopul normelor metodologice este să faciliteze crearea unui climat sigur și pozitiv în unitatea de învățământ, bazat pe respectarea persoanei, nediscriminare, motivarea pentru învățare și asigurarea stării de bine a antepreșcolarului/preșcolarului/elevului în unitatea de învățământ.
De asemenea, normele metodologice oferă un instrument de lucru pentru profesioniștii care lucrează cu antepreșcolarii/preșcolarii/elevii din sistemul educațional, familiile copiilor, autoritățile responsabile cu protecția copilului împotriva violenței, inclusiv a violenței psihologice-bullying și cu furnizorii de servicii specializate pentru reabilitarea copiilor-victime, martori și/sau copiilor cu un comportament agresiv. Promovarea activităților de prevenire și combatere a tuturor formelor de bullying și cyberbullying în sistemul educațional preuniversitar este un alt obiectiv urmărit, dublat de identificarea, semnalarea și intervenția, în echipă multidisciplinară, în situațiile de violență psihologică-bullying și cyberbullying.
Astfel, pentru reducerea ratei de prevenire a violenței psihologice-bullying, în fiecare unitate de învățământ va fi înființat un grup de acțiune anti-bullying din care vor face parte maximum 10 membri. Între aceștia se vor regăsi directorul unității de învățământ, profesorul consilier școlar, trei cadre didactice formate în problematica violenței, inclusiv a violenței psihologice-bullying, doi sau mai mulți reprezentanți ai elevilor, un reprezentant al părinților, reprezentanți ai autorității locale. Rolul acestui grup este prevenirea, identificarea și soluționarea faptelor de bullying comise între elevi, prin acțiuni fizice, verbale, relaționale și/sau cibernetice.
Fiecare unitate de învățământ are obligația de a introduce în Regulamentul de Ordine Interioară (ROI) obiectivul „școală cu toleranță zero la violență”. În plus, pentru a veni în sprijinul cadrelor didactice, în perioada următoare, Ministerul Educației și Cercetării va realiza Ghiduri de bune practici pe cicluri de învățământ, privind modul de interacțiune și de intervenție în situațiile de violență psihologică-bullying.
Mai mult, implementarea planului anti-bullying, la nivelul fiecărei unități școlare, presupune:
a) activități de informare și conștientizare asupra fenomenului de bullying pentru personalul școlii, copii și părinți;
b) măsuri de comunicare și informare internă, la nivelul unității de învățământ, cu privire la procedurile de prevenire, identificare, raportare și intervenție a situațiilor de bullying în spațiul școlar;
c) proceduri de intervenție în situațiile de violență psihologică-bullying;
d) responsabilizarea cadrelor didactice în scopul intervenției imediate în cazurile de bullying semnalate sau identificate;
e) organizarea unor activități, precum concursuri, teatru forum ș.a., în scopul încurajării respectării valorilor și misiunii declarate a școlii, participarea la identificarea, medierea sau raportarea situațiilor de bullying;
f) atragerea părinților în participarea la dezbateri și sesiuni de informare cu privire la bullying;
g) activități de măsurare a impactului acțiunilor cuprinse în planul anti-bullying și ale eficienței grupului de acțiune.
h) orice alt tip de activitate care are scopul de a preveni bullying-ul.
„Este datoria noastră, ca adulți responsabili, să-i apărăm, să-i protejăm pe copiii noștri prin educație, prin exemple pozitive. De aceea, Legea anti-bullying, însoțită de normele de aplicare, trebuie văzută ca un pas important pentru asigurarea demnității tuturor copiilor din România”, a declarat Monica Anisie, ministrul educației și cercetării.
„Convenția ONU cu privire la drepturile copiilor reglementează dreptul copilului la protecție împotriva oricărei forme de violență manifestată asupra lui de către adulți sau de către alți copii. În mediul școlar, o formă specifică de violență își face simțită prezența tot mai pregnant, ca formă de violență interpersonală între elevi, însoțită de diverse alte forme de abuz, respectiv violența psihologică sau bullying-ul. Ca adulți, nu putem rămâne indiferenți la vulnerabilitățile și suferința copiilor victime și martori ai bullying-ului sau la comportamentele agresive ale copiilor și nici nu ne putem mulțumi doar să intervenim punctual, pe moment. O intervenție adecvată, eficientă și cu repercusiuni pe termen mediu și lung este atunci când aceasta este însoțită și de acțiuni care au rol în creșterea coeziunii grupului de copii și a comunității școlare de copii-adulți, recunoașterea corectă a bullying-ului și conștientizarea consecințelor acestuia și învățarea și exersarea empatiei de către copii. Acțiunile anterioare completate prin aplicarea și promovarea principiilor disciplinei pozitive, a toleranței, respectului, incluziunii și solidarității duc negreșit la interacțiuni pozitive între copii precum și la crearea unui mediu securizant în școală pentru respectarea dreptului la educație al fiecărui copil.” – Adina Codreș, consilier superior, Autoritatea Națională pentru Drepturile Persoanelor cu Dizabilități, Copii și Adopții, Ministerul Muncii și Protecției Sociale
„Când îl vom privi pe celălalt așa cum vrem să fim priviți noi înșine, când îl vom trata așa cum ne place să fim tratați, atunci bullying-ul va rămâne un concept în manualele de istoria educației. Stă în puterea fiecăruia dintre noi, elev sau profesor, să facem școala un loc al prieteniei, al creșterii și dezvoltării armonioase într-un climat al siguranței și al bucuriei de a fi împreună. Echipați cu înțelegere, empatie, acceptare, compasiune, toleranță, răbdare, perseverență, bucurie avem șanse! Să începem echiparea!” – Aura Stănculescu, director CMBRAE
„Orice calamitate violentă punctuală (de exemplu, Colectiv) sau de durată mică-medie (de exemplu, pandemia) lasă urme adânci, oameni în suferință și costuri mari pe termen lung în societate, cu atât mai mult, formele violenței zilnice, cum este bullying-ul, care din nefericire este o calamitate persistentă, permanentă și în extindere. Nu vor ajunge niciodată resursele că să tratezi efectele și consecințele acestui fenomen nemenționat, lăsat în voia sorții. Doar eforturile de prevenție și stopare a fenomenului în sine pot fi eficace, iar legea anti-bullying și normele acesteia la care am mândria de a fi contribuit, sunt o bună și necesară bază legală pentru a putea face asta.” – Bogdan Ion, psihoterapeut și psiholog principal, președintele Filialei București a Colegiului Psihologilor din România.
„Cu toții suntem de acord că școala trebuie să fie un loc în care fiecare copil și fiecare profesor să se simtă în siguranță. Pentru ca acest obiectiv să devină o realitate cotidiană în viața elevilor și ținând seama de experiența concretă a organizației Salvați Copiii, prin derularea de cercetări și programe anti-bullying în zeci de școli și licee din Târgoviște și București, Ministerul Educației și Cercetării a adoptat astăzi un act normativ vital care va permite școlilor crearea de mecanisme flexibile și active de prevenire și combatere a diverselor forme de violență manifestate între elevi, direct sau online. E de menționat faptul că viitoarele grupuri de acțiune vor beneficia de participarea cadrelor didactice, a copiilor și părinților lor, ceea ce va permite tuturor să contribuie la obținerea unui climat școlar pozitiv.” – Gabriela Alexandrescu, Președinte Executiv, Organizația Salvați Copiii
„Mă bucur că după 3 ani de muncă susținută, în care am atras atenția asupra problemei bullying-ului cu care se confruntă România, am implicat toți stakeholderii, am mediat și integrat Strategia de prevenire și combatere a bullying-ului, acum se văd primele roade. Avem o lege care definește bullying-ul, cu niște norme temeinic făcute în mod colaborativ și aliniate cu instituțiile statului care sunt implicate (Ministerul Educației și Cercetării, Consiliul Elevilor, ANDPDCA, Poliția Română, Colegiul Psihologilor, CMBRAE). Sunt recunoscătoare tuturor specialiștilor implicați în proces, ong-urilor, psihologi, pedagogi, juriști și consilieri școlari care au contribuit cu toate cunoștințele de specialitate. Însă, așa cum cu o floare nu se face primăvară, așa nici bullying-ul nu va dispărea de la sine, pur și simplu, doar pentru că este legiferat. Depinde de fiecare adult, părinte și profesor, să se instruiască și să vegheze pentru ca legea să fie aplicată și copiii să fie protejați.” – Nadia Tătaru, inițiator al demersului strategic național
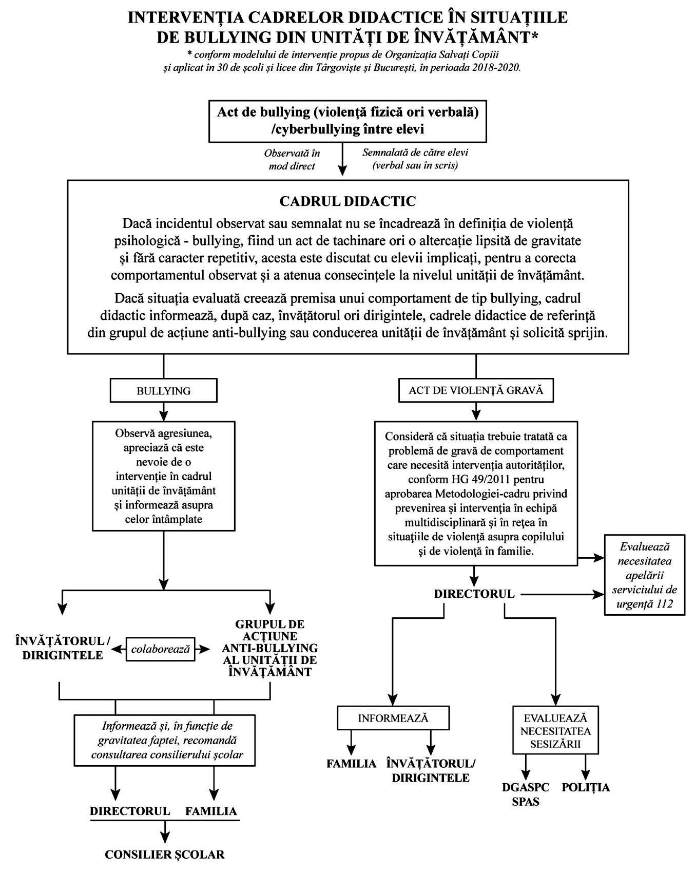
Pentru a face cunoscute modalitățile de intervenție în cazul de bullying, începând cu anul școlar 2020-2021, unitățile de învățământ preuniversitar pot afișa infografice accesibile tuturor copiilor, cadrelor didactice, personalului auxiliar și părinților.
Procedura de intervenție a cadrelor didactice în situațiile de bullying din unitățile de învățământ este disponibilă mai jos.

Legea de prevenire și combatere a bullying-ului, completată de normele metodologice, este rodul unei colaborări susținute, timp de 3 ani, a tuturor stakeholder-ilor existenți în România, reprezentanți ai statului și ai societății civile: Ministerul Educației și Cercetării, Autoritatea Națională pentru Drepturile Persoanelor cu Dizabilități, Copii și Adopții (ANDPDCA), Serviciul de Analiză şi Prevenire a Criminalității din Poliția Capitalei, CMBRAE, Colegiul Psihologilor, Consiliul Național al Elevilor, Organizația Salvați Copiii, Asociația Părinților Isteți, Itsy Bitsy și Simona Ciff.






